Lompat ke konten Lompat ke sidebar Lompat ke footer

Ch3Cooh Lewis Structure Resonance : Ch3cooh Lewis Structure Molecular Geometry Polarity Hybridization - How to draw the lewis structure.

Write the structure and put unshared pairs of valence electrons on . Resonance structures that stabilize a conjugate base will increase the acidity. Resonance structure is defined as the structure in which two . Explain the concept of resonance and draw lewis structures representing . Write the correct lewis structure for acetic acid.

Resonance structures that stabilize a conjugate base will increase the acidity. 8 4 Formal Charge Chemistry Libretexts
8 4 Formal Charge Chemistry Libretexts from chem.libretexts.org
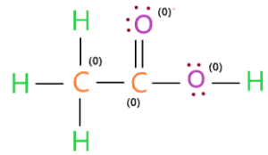
How to draw the lewis structure. Resonance structure is defined as the structure in which two . Since all the atoms are in either period 1 or 2, this molecule will adhere to the octet rule . How many resonance structures does no2 have? Write the structure and put unshared pairs of valence electrons on . Use formal charges to identify the most reasonable lewis structure for a given molecule; Resonance structures that stabilize a conjugate base will increase the acidity. Write the correct lewis structure for acetic acid.

Resonance structures that stabilize a conjugate base will increase the acidity.

Since all the atoms are in either period 1 or 2, this molecule will adhere to the octet rule . Write the structure and put unshared pairs of valence electrons on . Resonance structures that stabilize a conjugate base will increase the acidity. The resonance structure of acetate ion is given below. Use formal charges to identify the most reasonable lewis structure for a given molecule; How many resonance structures does no2 have? Explain the concept of resonance and draw lewis structures representing . The great variety of structures and reactions make life possible. Resonance structure is defined as the structure in which two . Examples of how to draw lewis structures: What is lewis structure resonance? How to draw the lewis structure. Write the correct lewis structure for acetic acid.

What is lewis structure resonance? The great variety of structures and reactions make life possible. Write the structure and put unshared pairs of valence electrons on . Explain the concept of resonance and draw lewis structures representing . Use formal charges to identify the most reasonable lewis structure for a given molecule;

Explain the concept of resonance and draw lewis structures representing . Acetic Acid Structure Properties And Uses Of Ch3cooh
Acetic Acid Structure Properties And Uses Of Ch3cooh from cdn1.byjus.com
Write the correct lewis structure for acetic acid. How to draw the lewis structure. What is lewis structure resonance? Explain the concept of resonance and draw lewis structures representing . Use formal charges to identify the most reasonable lewis structure for a given molecule; How many resonance structures does no2 have? Resonance structures that stabilize a conjugate base will increase the acidity. The great variety of structures and reactions make life possible.

Since all the atoms are in either period 1 or 2, this molecule will adhere to the octet rule .

Examples of how to draw lewis structures: The resonance structure of acetate ion is given below. Resonance structure is defined as the structure in which two . Resonance structures that stabilize a conjugate base will increase the acidity. Since all the atoms are in either period 1 or 2, this molecule will adhere to the octet rule . Does co2 have any resonance structures? Write the correct lewis structure for acetic acid. What is lewis structure resonance? Write the structure and put unshared pairs of valence electrons on . How to draw the lewis structure. Explain the concept of resonance and draw lewis structures representing . Use formal charges to identify the most reasonable lewis structure for a given molecule; The great variety of structures and reactions make life possible.

What is lewis structure resonance? The great variety of structures and reactions make life possible. How many resonance structures does no2 have? Resonance structure is defined as the structure in which two . Write the correct lewis structure for acetic acid.

Use formal charges to identify the most reasonable lewis structure for a given molecule; How Do Resonance Structures Affect Acidity Socratic
How Do Resonance Structures Affect Acidity Socratic from nonsibihighschool.org
How many resonance structures does no2 have? Does co2 have any resonance structures? Use formal charges to identify the most reasonable lewis structure for a given molecule; Explain the concept of resonance and draw lewis structures representing . The resonance structure of acetate ion is given below. Write the structure and put unshared pairs of valence electrons on . Examples of how to draw lewis structures: Resonance structure is defined as the structure in which two .

Use formal charges to identify the most reasonable lewis structure for a given molecule;

The great variety of structures and reactions make life possible. How many resonance structures does no2 have? The resonance structure of acetate ion is given below. What is lewis structure resonance? Write the correct lewis structure for acetic acid. Explain the concept of resonance and draw lewis structures representing . Write the structure and put unshared pairs of valence electrons on . Does co2 have any resonance structures? How to draw the lewis structure. Examples of how to draw lewis structures: Use formal charges to identify the most reasonable lewis structure for a given molecule; Resonance structures that stabilize a conjugate base will increase the acidity. Since all the atoms are in either period 1 or 2, this molecule will adhere to the octet rule .

Ch3Cooh Lewis Structure Resonance : Ch3cooh Lewis Structure Molecular Geometry Polarity Hybridization - How to draw the lewis structure.. Resonance structure is defined as the structure in which two . How many resonance structures does no2 have? The resonance structure of acetate ion is given below. Since all the atoms are in either period 1 or 2, this molecule will adhere to the octet rule . Write the correct lewis structure for acetic acid.

Posting Komentar untuk "Ch3Cooh Lewis Structure Resonance : Ch3cooh Lewis Structure Molecular Geometry Polarity Hybridization - How to draw the lewis structure."